【問題】3乗根の有理化【ハイスピード数学プロブレム016】
「秒で解ける数学の問題」がテーマのハイスピード数学プロブレム。
今回は3乗根の有理化の問題。
ただの計算問題でしょうか?
リンク
問題

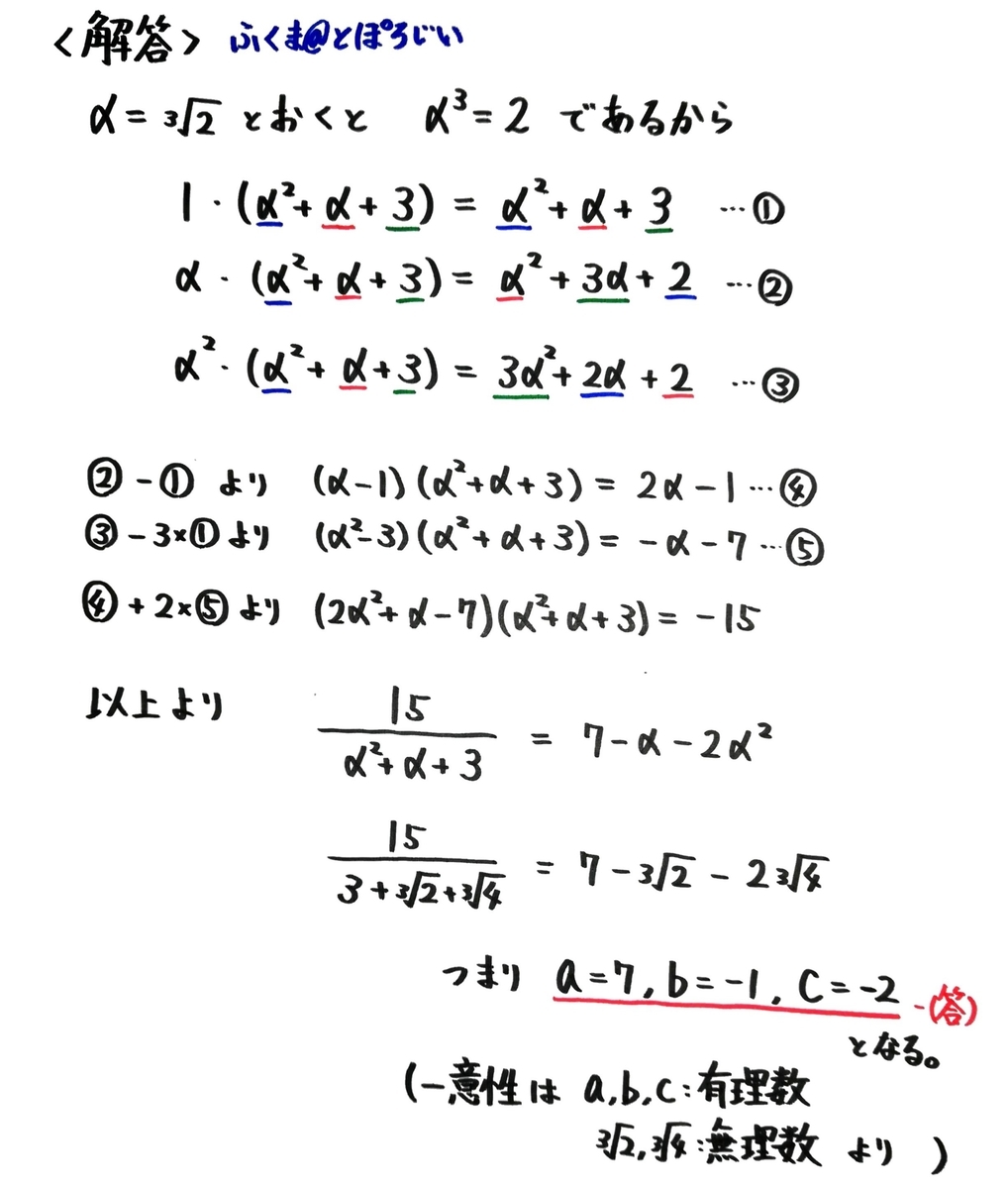
解答

解説とこぼれ話
問題を解くうえでは という一種の"周期性"を用いています。
なお、今回は有理化の問題ではありましたが、有理数体 上の3次ベクトル空間として連立方程式を解いているという見方もできますし、さらには
上3次拡大に関する問題として見ることもできます。
その意味では「代数学」と密接にかかわる問題となっているのではないでしょうか。
ハイスピード数学プロブレムとは?
解法次第で「ハイスピードに解ける」数学の問題とその解説を随時ゆるーく紹介します。
一風変わった問題で頭の体操にどうぞ。
インスタグラムをフォローしていただくと最新の問題&解説がご覧になれます。